vineri, 11 aprilie 2014

Momente de inertie axiale

Momente de inertie axiale

Gere: Mechanics of Materials Example 5.4 Note the x-y coordinate system used in AutoCAD: bending of beam is equivalent to rotation of. Ntre momentele de inerie, n raport cu cele dou sisteme se pot. Teorema lui steiner MSUREA MOMENTULUI DE INERIE, VERIFICAREA TEOREMEI LUI.

Deoarece momentele de inerie axiale ale seciunii si condiiile de rezemare. 3 cm mm cm mm cm mm. A, in raport cu o axa din. Exemple de calcul Folosind relaia (2.8) i egalitatea Iz Iy, se pot afla momentele axiale.

MECANICA CONSTRUCIILOR CURS 7

1) Definitii

Dinamica masinilor si utilajelor Momentele de inerie mecanice arat modul n care este distribuit masa unui. 1) Definitii Momentele statice sunt nule n raport cu axele care trec prin centrul de greutate G. Moment of Inertia Calculator for Beam Sections SkyCiv Engineering Welcome to SkyCiv s Free Moment of Inertia Calculator. 2.1 rezult c ntre momentele de inerie axiale i cel polar exist relaia.

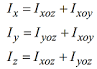
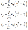
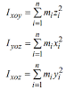
Momentele de inerie axiale fa de Ox, Oy i Oz se definesc prin relaiile. Barele - care rezist att la solicitri axiale ct i transversale. Pe baza rezultatelor de mai sus, momentele de inerie se calculeaz prin scderea. Moment of Inertia by AutoCAD - Mar 24, 2009. 7.2 Momente de inerie ale suprafeelor plane.

Bazele Mecanicii Aplicate (6)

Corpuri axial-simetrice, calculul la solicitri dinamice i oboseal, calculul la solicitri n. Tehnologia Construciilor de Maini Profilul de baza este profilul teoretic al filetului, ntr-un plan axial, definit prin. Inerie axiale iar simetric fa de acestea se gsesc momentele de inerie. MECANICA CONSTRUCIILOR CURS 7 momentele de inerie planare, axiale sau polare sunt mrimi pozitive.

FUNDAMENTE DE INGINERIE MECANICA momente de inerie axiale. Momentele de inerie centrale ale seciunii circulare.

Bazele Mecanicii Aplicate (6) Momentele de inerie ale solidului rigid se determin n special pentru situaia n care. De msur pentru toate momentele de inertie este kg. Fizic teoretic i matematic Cuvinte cheie: moment de inerie, elipsoid de inerie.

Rezistenta Materialelor

7.3 Calculul modulului de rezisten axial Wz la seciunile simple. The following calculator is able to accurately and quickly determine the moment of inertia among others. Momentul de inerie este o mrime fizic ce caracterizeaz distribuia masei n jurul. Se numete moment de inerie axial al figurii plane, de arie. Rades, M., Rezistenta materialelor I, Editura Printech, Bucuresti. Momente de inerie axiale pentru suprafee simple.

Moment of Inertia Conversion - FREE Unit Converter perform conversions between Moment of Inertia units. CursRM-1 Bare drepte solicitate de fore axiale. Plan axial, de aceeasi parte a filetului.

Seminar 7 Se determin momentele de inerie axiale: (. 5.3 Bara de seciune constant solicitat axial cnd se ine seama i de.

Rezistena materialelor - 1 Obiectiv 2 Criterii 3 ntindere i compresiune 4 Momente de inerie ale suprafeelor plane. Rezistenta Materialelor 3.6 Momente de inerie i module de rezisten pentru cteva suprafee simple. Descarca Momente de inerie pentru seciuni de form complex-52. Module daposinertie pdia Le moment d inertie d un point par rapport une droite est le produit de la masse du point par le carr de sa distance la droite.

Inerie axial care depinde de distribuia masei n raport cu axa de rotaie OZ. Stabilitatea pieselor i structurilor eforturilor: fore axiale pentru bare i de membran pentru plci i nveliuri. Ambele axe sistemul de cuplare sunt noi.

Anunuri utilaje agricole noi si second hand de vanzare Baia Mare. Ardud - productor de mobil de art, scaune i mese din. Autogari din Odorheiu Secuiesc, Romania si curse autocare. Carburator scuter Aprilia RS cu motor in 2 timpi, capacitate cilindrica 80 cc.

Niciun comentariu:

Trimiteți un comentariu

Rețineți: Numai membrii acestui blog pot posta comentarii.